
一年一度的高考已經結束
在高考前后幾天
我們看到了社會的關切、學校的精心準備
老師們也放緩節奏,更加平和、從容
更加關注學生的生活、情緒、睡眠
面對大考,同學們心中許宏志,足下履平沙
不熱血、不懈怠、專注當下
相信功到自然成
底氣十足、自信從容應對大考
高考前
校長和你“侃”高考
Bachuan ?Middle ?School
高考前一天
郭洪校長用三場考前動員會和同學們一起侃高考
怎樣才能在高考中 “遇見更好的自己”
聊到盡興處,爽朗的重慶話更能表達他當時的情感
大家領略到郭校長襯衣領帶背后的風趣幽默

一如既往的“郭氏風格”
精煉的內容,精準的視角,精簡的結構
“三會”提出希望
“三問”關懷備至
“三心”平緩心態
“三個成語”,傳授應考錦囊
“答前三分鐘”,口述考前旨要
“三遍”,給出做題策略
“三點”,調節身心狀態
三場講座,郭校長如此鐘愛“三”
希望大家的三年勤學能在這三天的高考中
能夠三星高照、連中三元!


高考后
班主任寫給每個學生一封信
Bachuan ?Middle ?School
三年傾心,一紙情深
高三9班班主任田世來老師
用半個多月的時間給全班35名同學
每人寫了一封信
有些在教學間隙寫成
有些是在學生進考場后完成
寫信時間不一、內容有別
田老師只是想在同學們畢業之際
給他們留下一些特別的回憶
為了不失偏頗
田老師以姓氏拼音為序開始書寫
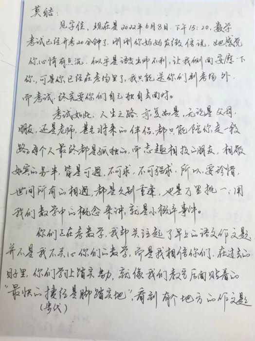
6月8日,剛好寫到莫皓同學這里
結合正在進行的高考和他談未來、談人生
6月9日信件全部發到大家手中
為了讓同學們今后盡量不走彎路
田老師的信件中多數是從
閱讀、鍛煉、交友幾個方面來寫的
特別提到要交好友、交益友、交諍友
是師如父的叮囑盡在字里行間
他希望通過這樣的寄語
對同學們的人生之路能有所啟發
看到同學們讀信時眼圈泛紅
田老師告訴家長們
口語考試結束后就可直接接走孩子
也許正是為了避免離別時的傷感和不舍


離校時
這樣去傳承巴川文化
Bachuan ?Middle ?School
高三的學長學姐高考結束后
將日夜苦讀梳理成冊的知識精粹
毫無保留地留給下屆的學弟學妹
這樣的學科筆記帶著勤學善思的高三溫度
更傳遞著巴川學子優秀的學習品質
一篇篇筆記,文理兼有

透過整潔的版面與娟娟筆跡
無論文科的積累還是數理的邏輯在這里都一覽無遺
相信學弟學妹看到這樣的饋贈
不僅是由衷的感謝
更能感受到這其中承載著的情感
這是樓上樓下的日日相遇
不須識姓名,不用問來處
只為這猶如親情般的巴川情誼
這是知識與學習技巧的傳遞
也是高年級與低年級的情誼
折射出的是和諧、共進的巴川文化
在巴川,校長、老師、學生
高考期間都繪就著各自的角色
無論輕松交流還是溫情雋永
都呈現出一種平和的狀態
積極面對,從容不迫
平靜如常更能創造非凡